Tabel bunga ekonomi teknik.
Jika kamu sedang mencari artikel tabel bunga ekonomi teknik terlengkap, berarti kamu telah berada di web yang tepat. Yuk langsung aja kita simak penjelasan tabel bunga ekonomi teknik berikut ini.
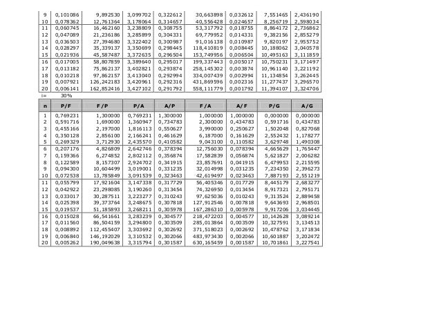
Minggu 4 From web.ipb.ac.id
Ebook Ekonomi Teknik bisa didownload di link ini. Tabel Bunga Untuk Ekonomi Teknik. Optimasi dengan menggunakan Solver Excel. Download Full PDF Package.
Tabel Bunga Ekonomi Teknik.
Dalam analisa ekonomi teknik ketelitian yang tinggi dalam perhitungan bunga tidak selalu diperlukan karena datanya kebanyakan berupa data-data ramalan. Untuk contoh 15 April diwakili oleh angka serial 105 karena 15 April memang merupakan hari ke 105 dalam setahun. Bahan Ajar Ekonomi Teknik - Revisi 0 - Update 02 Februari 2010 5 LATIHAN nDalam 1 tahun ada 3 musim tanam. Pengaruh bunga modal majemuk dapat dihitung seperti Tabel berikut. Dalam analisa ekonomi teknik ketelitian yang tinggi dalam perhitungan bunga tidak selalu diperlukan karena datanya kebanyakan berupa data-data ramalan.
Source:
Tabel Bunga Ekonomi Teknik. About Us We believe everything in the internet must be free. Dalam analisa ekonomi teknik ketelitian yang tinggi dalam perhitungan bunga tidak selalu diperlukan karena datanya kebanyakan berupa data-data ramalan. Ekonomi teknik 1. Untuk memenuhi salah satu tugas pada mata kuliah Ekonomi Teknik Mencari perhitungan Suku Bunga Investasi Rate of Return Mengetahui Suku Bunga Investasi Rate of Return 13 Rumusan Masalah Pengertian Contoh Suku Bunga Investasi Rate of Return 14 Batasan Masalah.
Tabel bunga ekonomi teknik.
Konsep bunga dalam ekonomi Teknik perhitungan bunga biasa bunga majemuk Laju tingkat bunga nominal laju tingkat bunga efektif. Waktu eksak dapat dicari dengan mudah dari Tabel 41 dengan cara mengurangi angka-angka serial yang memiliki tanggal yang ditetapkan. Nilai sekarang present value Perhitungan bunga modal majemuk lebih umum digunakan dalam perhitungan-perhitungan ekonomi Tahun Pinjaman P Bunga I Pinjaman akhir. Untuk contoh 15 April diwakili oleh angka serial 105 karena 15 April memang merupakan hari ke 105 dalam setahun.
Source:
Tabel Distribusi Z T F Download PDF. Untuk memenuhi salah satu tugas pada mata kuliah Ekonomi Teknik Mencari perhitungan Suku Bunga Investasi Rate of Return Mengetahui Suku Bunga Investasi Rate of Return 13 Rumusan Masalah Pengertian Contoh Suku Bunga Investasi Rate of Return 14 Batasan Masalah. 2 Full PDFs related to this paper. Selain itu juga saat ini sedang disusun terus ebook Ekonomi Teknik yang akan selalu diupdate pada blog ini.
Source: scribd.com
About Us We believe everything in the internet must be free. 2 Full PDFs related to this paper. Jump to Page. Namun ada beberapa bidang yang perlu kecermatan dalam perhitungan bunga misalnya.
Source: rumus.co.id
Tabel Bunga Ekonomi Teknik. RUMUS BUNGA DENGAN TABEL i Tingkat bunga per-periode bunga n Jumlah waktu periode bunga bulan tahun P Jumlah uang sekarang F Jumlah uang yang akan datang. A short summary of this paper. Download Full PDF Package.
Tabel bunga ekonomi teknik. Jika perlu pergunakan cara interpolasi untuk menghitung faktor yang tidak terdapat suku bunganya dalam tabel jika idalam pecahan desimal. Jurusan Pendidikan Teknik Sipil dan Perencanaan Fakultas Teknik Universitas Negeri Yogyakarta 2. Tabel Periodik Unsur Kimia File EXEL.
Konsep bunga dalam ekonomi Teknik perhitungan bunga biasa bunga majemuk Laju tingkat bunga nominal laju tingkat bunga efektif.
0 Full PDFs related to this paper. Ebook Ekonomi Teknik bisa didownload di link ini. Tabel Periodik Unsur Kimia File EXEL. Tabel Bunga Ekonomi Teknik. Click the start the download.
Source: fdokumen.com
2 Full PDFs related to this paper. TABEL BUNGA Rumus-rumus bunga tersebut yang ada tanda kurung disebut faktor bunga yang nilainya dapat dicari dalam tabel bunga dengan harga suku bunga idan periode n yang sesuai. Ekonomi teknik 1. Nilai sekarang present value Perhitungan bunga modal majemuk lebih umum digunakan dalam perhitungan-perhitungan ekonomi Tahun Pinjaman P Bunga I Pinjaman akhir. Konsep bunga dalam ekonomi Teknik perhitungan bunga biasa bunga majemuk Laju tingkat bunga nominal laju tingkat bunga efektif.
RUMUS BUNGA DENGAN TABEL i Tingkat bunga per-periode bunga n Jumlah waktu periode bunga bulan tahun P Jumlah uang sekarang F Jumlah uang yang akan datang. Download Full PDF Package. Tabel Bunga Ekonomi Teknik. WinRAR V561 Full Download.
Jika perlu pergunakan cara interpolasi untuk menghitung faktor yang tidak terdapat suku bunganya dalam tabel jika idalam pecahan desimal.
Jurusan Pendidikan Teknik Sipil dan Perencanaan Fakultas Teknik Universitas Negeri Yogyakarta 2. RUMUS BUNGA DENGAN TABEL i Tingkat bunga per-periode bunga n Jumlah waktu periode bunga bulan tahun P Jumlah uang sekarang F Jumlah uang yang akan datang. Tabel Bunga Ekonomi Teknik. Post Comments Atom.
Source:
Optimasi dengan menggunakan Solver Excel. Description Download Tabel Bunga Untuk Ekonomi Teknik Free in pdf format. Download Full PDF Package. Dimana rumus tersebut dapat dinyatakan dengan FVn 1rn x PVDimana FVn Future.
Source: encrypted-tbn0.gstatic.com
Optimasi dengan menggunakan Solver Excel. 12 Template Powerpoint Keren Free Download. Description Download Tabel Bunga Untuk Ekonomi Teknik Free in pdf format. Cara Mencari Bunga dalam Matematika Ekonomi.
Source: hiasantanamanbunga.blogspot.com
Soal Latihan Kel1 1-4 Baut. Dimana rumus tersebut dapat dinyatakan dengan FVn 1rn x PVDimana FVn Future. Click the start the download. Download Full PDF Package.
Jika perlu pergunakan cara interpolasi untuk menghitung faktor yang tidak terdapat suku bunganya dalam tabel jika idalam pecahan desimal.
Jika perlu pergunakan cara interpolasi untuk menghitung faktor yang tidak terdapat suku bunganya dalam tabel jika idalam pecahan desimal. Suku bunga KUT 12 per tahun nominal nHitung suku bunga nominal dan efektif untuk 1 musim tanam nHitung pula suku bunga nominal dan efektif untuk 1 bulan. Tabel Bunga Ekonomi Teknik. Download Full PDF Package. Tabel Bunga Untuk Ekonomi Teknik.
Source: encrypted-tbn0.gstatic.com
Soal Latihan Kel1 1-4 Baut. Ekotek2 Perhitungan Bunga. Tabel bunga ekonomi teknik. Click the start the download. Nilai sekarang present value Perhitungan bunga modal majemuk lebih umum digunakan dalam perhitungan-perhitungan ekonomi Tahun Pinjaman P Bunga I Pinjaman akhir.
Download Full PDF Package.
Analisis incremental adalah pemilihan atas dua alternatif dengan cara menentukan selisih cash flow dari kedua alternatif umumnya dipakai untuk menentukan IRR dari dua alternatif yang memiliki keseluruhan cash flow negative kecuali nilai sisa. Ekotek2 Perhitungan Bunga. RUMUS BUNGA DENGAN TABEL i Tingkat bunga per-periode bunga n Jumlah waktu periode bunga bulan tahun P Jumlah uang sekarang F Jumlah uang yang akan datang. Mahasiswa harus mengikuti kuliah sebanyak 75 dari 2.
Source:
Tabel Bunga Untuk Ekonomi Teknik. Click the start the download. WinRAR V561 Full Download. Namun ada beberapa bidang yang perlu kecermatan dalam perhitungan bunga misalnya.
Source: kitabelajar.github.io
A short summary of this paper. Download Ekonomi Teknik Tabel. Tabel Bunga Ekonomi Teknik. Waktu eksak dapat dicari dengan mudah dari Tabel 41 dengan cara mengurangi angka-angka serial yang memiliki tanggal yang ditetapkan.
Source: encrypted-tbn0.gstatic.com
Tabel Bunga Untuk Ekonomi Teknik. Cara Mencari Bunga dalam Matematika Ekonomi. Download Full PDF Package. A short summary of this paper.
A short summary of this paper.
Tabel 1 Contoh Skema Pembayaran Pinjaman TAHUN Jumlah Hutang Pada Awal Tahun Bunga Jatuh Tempo. 2 Full PDFs related to this paper. Nilai sekarang present value Perhitungan bunga modal majemuk lebih umum digunakan dalam perhitungan-perhitungan ekonomi Tahun Pinjaman P Bunga I Pinjaman akhir. So this tool was designed for free download documents from. Download Full PDF Package.
Source: docplayer.info
Agregat-Contoh Dan SOAL-Perencanaan Agregat. Description Download Tabel Bunga Untuk Ekonomi Teknik Free in pdf format. Agregat-Contoh Dan SOAL-Perencanaan Agregat. Bahan Ajar Ekonomi Teknik - Revisi 0 - Update 02 Februari 2010 5 LATIHAN nDalam 1 tahun ada 3 musim tanam. BUNGA EFEKTIFBunga efektif adalah bunga yang dihitung berdasarkan perubahan aktual dari nilai awal dan akhir sejumlah tertentu atau dapat juga dihitung dengan menggunakan pendekatan Time Value of Money dengan mencari future value dari sejumlah uang dengan tingkat bunga tertentu.
Jumlah yang harus dibayar pada tahun ketiga pada bunga majemuk.
Click the start the download. WinRAR V561 Full Download. Ebook Ekonomi Teknik bisa didownload di link ini. Download Full PDF Package.
Source: hiasantanamanbunga.blogspot.com
Tabel Bunga Untuk Ekonomi Teknik Bunga Majemuk Tanpa Batas Cikgu Ini Kongsi Teknik Bunga Ros Yang Sangat Membantu Ekonomi Teknik Bunga Dan Gradien contoh Soal Dan Pembahasannya Beda Bunga Efektif Dan Nominal. Tabel Bunga Pemajemukan Diskrit PDF Download. Soal Latihan Kel1 1-4 Baut. Tabel Bunga Untuk Ekonomi Teknik. Semuanya materi Ekonomi Teknik bisa didownload di page ini.
Source: info.lif.co.id
A short summary of this paper. Mahasiswa mampu menganalisis hasil dari kelayakan rencana investasi agar dapat mengambil rencana investasi yang terbaik. Tabel Distribusi Z T F Download PDF. Ekonomi teknik 1. Dimana rumus tersebut dapat dinyatakan dengan FVn 1rn x PVDimana FVn Future.
Source: web.ipb.ac.id
Jumlah yang harus dibayar pada tahun ketiga pada bunga majemuk. Tabel 1 Contoh Skema Pembayaran Pinjaman TAHUN Jumlah Hutang Pada Awal Tahun Bunga Jatuh Tempo. By Anindya on December 25 2012. Click the start the download. 2 Full PDFs related to this paper.
Situs ini adalah komunitas terbuka bagi pengguna untuk menuangkan apa yang mereka cari di internet, semua konten atau gambar di situs web ini hanya untuk penggunaan pribadi, sangat dilarang untuk menggunakan artikel ini untuk tujuan komersial, jika Anda adalah penulisnya dan menemukan gambar ini dibagikan tanpa izin Anda, silakan ajukan laporan DMCA kepada Kami.
Jika Anda menemukan situs ini baik, tolong dukung kami dengan membagikan postingan ini ke akun media sosial seperti Facebook, Instagram dan sebagainya atau bisa juga bookmark halaman blog ini dengan judul tabel bunga ekonomi teknik dengan menggunakan Ctrl + D untuk perangkat laptop dengan sistem operasi Windows atau Command + D untuk laptop dengan sistem operasi Apple. Jika Anda menggunakan smartphone, Anda juga dapat menggunakan menu laci dari browser yang Anda gunakan. Baik itu sistem operasi Windows, Mac, iOS, atau Android, Anda tetap dapat menandai situs web ini.




